기계 관련 학과 출신 또는 관련 종사자라면 한 번 쯤 꼭 들어봤을 Poisson’s Raito (포아송 비)를 들어보셨을텐데요. 이 “포아송 비”는 외래어라서 부르는 사람에 따라 “포아손 비”, “푸아송 비”, “푸아손 비”라고도 하는데요. 다양한 재료가 하중을 받을 때 어떻게 변형되는지에 대한 핵심 정보를 제공하는 매우 중요한 재료 특성입니다.이번 포스팅에서는 이 푸아송 비가 무엇인지 자세히 알아보겠습니다.
Poisson’s Ratio (포아송 비)
일반적으로 고무줄을 길이 방향으로 늘리면 그 길이가 증가하는 동시에 고무줄이 더 얇아진다는 것을 경험적으로 알 수 있습니다. 이런 현상을 물리적으로 표현한 것이 포아송 비입니다.
아래와 같이 육면체에 인장 하중을 가하면 횡 방향으로는 늘어나고 종 방향으로는 수축하게 되죠. 이때 힘을 가하는 방향을 횡 방향, 그와 수직한 방향을 종 방향이라고 하겠습니다. 그와 반대로 압축 하중을 가하면 횡 방향으로는 줄어들고 종 방향으로는 확장될 것입니다.


여기에서 핵심 개념은 하나의 방향으로 하중을 가하면, 하중을 가하는 방향인 횡 방향은 물론 그와 수직한 방향인 종 방향으로도 물질이 변형된다는 것입니다.
수식적인 내용
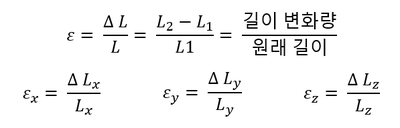
육면체에 인장 하중을 가했다고 가정하겠습니다. 이때, Lx, Ly, Lz는 원래 육면체 형상의 각 X, Y, Z 방향으로의 길이를 의미하고, Delta Lx, Delta Ly, Delta Lz는 인장 하중을 가한 후 길이의 변화를 의미합니다.

다음으로 각각의 X, Y, Z 방향으로의 변형률을 수식으로 표현해보겠습니다. 변형률은 변형 정도를 계산한 무차원 수로, 변화한 길이를 원래의 길이로 나눈 것으로 정의합니다. 변형률은 그리스 문자 ε 으로 표기하며, epsilon(입실론)이라고 읽습니다.

지금부터 설명드릴 내용은 재료가 두 종 방향(Y와 Z 방향)의 변형률이 같은 등방성 재료이고 항복 강도를 넘어서지 않은 탄성 영역 내에서 번형이 이루어진다고 가정해야 합니다. 이 때 횡 방향 변형률은 종 방향 변형률과 비례 관계이고, 그 비율은 재료의 성질을 나타내는 재료 상수입니다. 변형률은 인장인지 압축인지에 따라 그 부호가 달라지기 때
일반적으로 볼 수 있는 기계 재료는 대부분 등방성(isotropy) 재료이지만, 예를 들어 플라스틱 사출물의 강도를 높이기 위해 유리 섬유(Glass Fiber)를 첨가한 유리 섬유 강화 플라스틱의 경우에는 플라스틱 사출물 내에 배치된 유리 섬유(Glass Fiber) 방향에 따라 횡/종 방향의 기계적 성질이 달라지기 때문에 대표적인 이방성(othotropy) 재료 라고 할 수 있습니다. 더 궁금하신 분들은 “유리섬유 강화 플라스틱 성형에서 유리섬유의 단면형상과 사출조건이 인장강도에 미치는 영향” 논문을 찾아보시면 되겠습니다.문에 재료 상수를 정의할 때는 절댓값을 사용해야 합니다.
이렇게 정의된 재료 상수가 바로 포아송 비, Poission’s Ratio입니다. 포아송 비는 그리스 문자 ν로 표기하며, Nu(누) 라고 읽습니다.


포아송 비(Poission’s Ratio)는 1827년 프랑스 수학자인 Siméon Denis Poisson이 발표한 논문에서 공식적으로 정의하였으며, 그의 이름을 따 만들어졌습니다.
정리하자면, 포아송 비(Poission’s Ratio)는 무차원 재료 특성으로, 횡 방향과 종 방향 변형률의 비율 입니다.
대표적인 재료의 포아송 비
일반적인 재료의 포아송 비는 0에서 0.5 사이의 값을 가지며, 대부분의 금속 재료의 포아송 비는 0.3 정도 입니다. 그럼 일반적으로 쉽게 볼 수 있는 재료의 포아송 비를 알아볼까요?
| 재료 | 포아송 비 |
|---|---|
| 고무 | 0.5 |
| 금 | 0.42 ~ 0.44 |
| 티타늄 | 0.26 ~ 0.34 |
| 구리 | 0.33 |
| 알루미늄 | 0.32 |
| 철 | 0.27 ~ 0.3 |
| 콘크리트 | 0.1 ~ 0.2 |
| 유리 | 0.18 ~ 0.3 |
| 코르크 | 0 |
포아송 비의 재미있는 현상
위에서 설명드렸던 내용에 따라 인장 하중에 가해질 경우 횡 방향으로 늘어나고 재료의 포아송 비에 따라 종 방향으로는 줄어든다고 알고 있습니다.
만약 이 포아송 비가 코르크처럼 “0” 이라면 어떻게 될까요?
아래 그림처럼 포아송 비가 “0”인 경우에는 횡 방향으로 인장 하중을 가했을 경우, 횡 방향으로 물체가 늘어나지만 종 방향의 변형률이 0 이기 때문에 줄어들지 않습니다. 반대로 압축 하중을 가했을 때도 종 방향으로 늘어나지 않기 때문에 와인 병의 입구에 쉽게 삽입할 수 있는 것이죠.

또 만약 포아송 비가 0.5라면 어떻게 될까요?
인장 시험기의 시편 전체 형상 중 국소 부위에 작용하는 변형률을 계산해 보겠습니다.
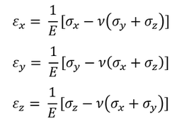
x 방향으로 인장 하중이 가해질 때, 변형률과 응력의 상관식에 의해서 x 방향으로의 변화량을 구하는 식은 아래와 같습니다.

또 y, z 방향으로도 응력이 작용하진 않지만 수축이 발생하기 때문에 변형률이 있겠죠.

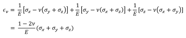
x, y, z 방향의 변형률을 모두 더하면 부피 변형률이 됩니다. 이때 포아송 비가 0.5 라면? 바로 부피 변형률은 “0”이 됩니다. 이것은 포아송 비가 0.5인 재료들은 변형되면서 재료의 부피가 일정하게 유지된다는 것을 의미하고 비압축성 재료라고 합니다. 대표적인 예로는 고무가 있겠네요.

마치며…
구조 해석을 진행하기 위해서 재료의 물성치를 입력할 때 늘 마주치는 포아송 비에 대해서 알아보았습니다.
수식적인 내용까지 자세히 알고 있을 필요는 없지만, 포아송 비가 어떤 개념인지, 포아송비이 구조 해석에 어떤 영향을 미치는지 알고는 있어야 합니다.
한 번 쯤 꼭 읽어보시고 개념을 잘 생각하시며 구조 해석을 진행해보세요~!
추가적으로 더 궁금하시거나 도움이 필요한 부분이 있다면 댓글 또는 1:1 문의를 통해 알려주세요 🙂
감사합니다.



